IGNOU BCA(1) – BCS – 012 Solved Assignment for 2018 – 2019
Programme Overview
The basic objective of the programme is to open a channel of admission for computing courses for students, who have done the 10+2 and are interested in taking computing/IT as a career. After acquiring the Bachelor’s Degree (BCA) at IGNOU, there is further educational opportunity to go for an MCA at IGNOU or Master’s Programme at any other University/Institute. Also after completing BCA Programme, a student should be able to get entry level job in the field of Information Technology or ITES.
Course Duration
Minimum Duration: 3 Years
Maximum Duration: 6 Years
Course Fee
Rs. 30,000 in total i.e. 6 semesters.( see common Prospectus for latest updates )
Rs. 5,100/- For Ist Semester(Rs. 100 in addition to Rs. 5,000 as Registration charges) and Rs. 5,000/- Per Semester for Second Semester Onwards( See Common Prospectus for latest update)
Age Criteria
No age limits
Eligibility
10+2 or its equivalent
Admission regarding Information
Contact to Student Support Centre Ph. 011-29572513
Email: ssc@ignou.ac.in
For more details, click here to download “Programme Guide”
[Solved Assignment] BCS-012 Session July 2018 and January 2019
1. Evaluate the determinant given below, where ω is a cube root of unity.
|1ωω2ωω21ω21ω|
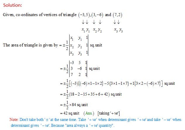
2. Using determinant, find the area of the triangle whose vertices are (− 3, 5), (3, − 6) and (7, 2).
3. Use the principle of mathematical induction to show that 2 + 22 +…….+ 2n = 2n + 1 − 2 for every natural number n.
4. Find the sum of all integers between 100 and 1000 which are divisible by 9.
5. Check the continuity of the function f(x) at x = 0 :
f(x)={|x|x, x≠00 , x=0
6. If
y= lnx x
, show that
d 2 y d x 2 = 2lnx−3 x 3
.
Answer
[Solved] IGNOU BCA (1): BCS-012 Complete Assignment for the session : July 2018 and January 2019 [in English]
To Get The Solution of this Assignment you have to pay Rs. 31.00 by clicking on the button below.
7. If the mid-points of the consecutive sides of a quadrilateral are joined, then show (by using vectors) that they form a parallelogram.
Answer
[Solved] IGNOU BCA (1): BCS-012 Complete Assignment for the session : July 2018 and January 2019 [in English]
To Get The Solution of this Assignment you have to pay Rs. 31.00 by clicking on the button below.
8. Find the scalar component of projection of the vector
a → =2 i ^ +3 j ^ +5 k ^
on the vector
b → =2 i ^ −2 j ^ − k ^
.
Answer
[Solved] IGNOU BCA (1): BCS-012 Complete Assignment for the session : July 2018 and January 2019 [in English]
To Get The Solution of this Assignment you have to pay Rs. 31.00 by clicking on the button below.
9. Solve the following system of linear equations using Cramer’s rule:
x + y = 0, y + z = 1, z + x = 3
Answer
[Solved] IGNOU BCA (1): BCS-012 Complete Assignment for the session : July 2018 and January 2019 [in English]
To Get The Solution of this Assignment you have to pay Rs. 31.00 by clicking on the button below.
10. If
A=[ 1 −2 2 −1 ]
,
B=[ a 1 b −1 ]
and
( A+B ) 2 = A 2 + B 2 ,
find a and b .
Answer
[Solved] IGNOU BCA (1): BCS-012 Complete Assignment for the session : July 2018 and January 2019 [in English]
To Get The Solution of this Assignment you have to pay Rs. 31.00 by clicking on the button below.
11. Reduce the matrix A (given below) to normal form and hence find its rank.
A=[ 5 3 8 0 1 1 1 −1 0 ]
Answer
[Solved] IGNOU BCA (1): BCS-012 Complete Assignment for the session : July 2018 and January 2019 [in English]
To Get The Solution of this Assignment you have to pay Rs. 31.00 by clicking on the button below.
12. Show that n(n+1)(2n+1) is a multiple of 6 for every natural number n.
Answer
[Solved] IGNOU BCA (1): BCS-012 Complete Assignment for the session : July 2018 and January 2019 [in English]
To Get The Solution of this Assignment you have to pay Rs. 31.00 by clicking on the button below.
13. Find the sum of an infinite G.P. whose first term is 28 and fourth term is
4 49
.
Answer
[Solved] IGNOU BCA (1): BCS-012 Complete Assignment for the session : July 2018 and January 2019 [in English]
To Get The Solution of this Assignment you have to pay Rs. 31.00 by clicking on the button below.
14. Use De Moivre’s theorem to find
( 3 +i ) 3
.
Answer
[Solved] IGNOU BCA (1): BCS-012 Complete Assignment for the session : July 2018 and January 2019 [in English]
To Get The Solution of this Assignment you have to pay Rs. 31.00 by clicking on the button below.
15. If 1, ω, ω2 are cube roots unity, show that
( 2−ω )( 2− ω 2 )( 2− ω 10 )( 2− ω 11 )
= 49 .
Answer
[Solved] IGNOU BCA (1): BCS-012 Complete Assignment for the session : July 2018 and January 2019 [in English]
To Get The Solution of this Assignment you have to pay Rs. 31.00 by clicking on the button below.
16. Solve the equation 2x3 − 15x2 + 37x − 30 = 0, given that the roots of the equation are in A.P.
Answer
[Solved] IGNOU BCA (1): BCS-012 Complete Assignment for the session : July 2018 and January 2019 [in English]
To Get The Solution of this Assignment you have to pay Rs. 31.00 by clicking on the button below.
17. A young child is flying a kite which is at height of 50 m. The wind is carrying the kite horizontally away from the child at a speed of 6.5 m/s. How fast must the kite string be let out when the string is 130 m ?
Answer
[Solved] IGNOU BCA (1): BCS-012 Complete Assignment for the session : July 2018 and January 2019 [in English]
To Get The Solution of this Assignment you have to pay Rs. 31.00 by clicking on the button below.
18. Using first derivative test, find the local maxima and minima of the function f(x) = x3− 12x .
Answer
[Solved] IGNOU BCA (1): BCS-012 Complete Assignment for the session : July 2018 and January 2019 [in English]
To Get The Solution of this Assignment you have to pay Rs. 31.00 by clicking on the button below.
19. Evaluate the integral :
I= ∫ x 2 ( x+1 ) 3 dx
Answer
[Solved] IGNOU BCA (1): BCS-012 Complete Assignment for the session : July 2018 and January 2019 [in English]
To Get The Solution of this Assignment you have to pay Rs. 31.00 by clicking on the button below.
20. Find the length of the curve
y=3+ x 2
from (0, 3) to (2, 4).
Answer
[Solved] IGNOU BCA (1): BCS-012 Complete Assignment for the session : July 2018 and January 2019 [in English]
To Get The Solution of this Assignment you have to pay Rs. 31.00 by clicking on the button below.

the 2nd question final answer is is wrong bro the answer is 46 sq unit